亮点评述
【化工进展】西安石油大学等 | 磁场与材料协同对碳酸钙晶体动态生长的影响
磁场与材料协同对碳酸钙晶体动态生长的影响
蒋华义1,郭智杰1,梁爱国2,刘冬冬2,巨怡怡3,朱秋波2,于倩2
1西安石油大学管道工程学院,陕西 西安 710065;2克拉玛依红山油田有限责任公司,新疆 克拉玛依 834000;3克拉玛依市富城油砂矿资源开发有限责任公司,新疆 克拉玛依 834000
引用本文
蒋华义, 郭智杰, 梁爱国, 等. 磁场与材料协同对碳酸钙晶体动态生长的影响[J]. 化工进展, 2025, 44(12): 7045-7056.
✦
DOI:10.16085/j.issn.1000-6613.2024-1788

摘要
为解决CaCO3结垢造成管线堵塞问题。基于“变被动结垢为主动定点结垢除垢”的思路,本文针对某油田采出水,综合动态剪切实验以及扫描电子显微镜、接触角、表面自由能和粗糙度测试,研究磁场与材料协同作用规律以及对碳酸钙晶体动态生长的影响机理。结果表明,有/无磁场作用下各材料对失钙率和碳酸钙结垢量的影响规律性一致。无磁场作用下,失钙率和结垢量排序为聚四氟乙烯(PTFE)>玻璃钢>镀锌铁>316不锈钢>H62黄铜>PVC;磁场作用下,失钙率排序为PTFE>玻璃钢>镀锌铁>316不锈钢>H62铜>PVC,结垢量排序为PTFE>镀锌铁>玻璃钢>316不锈钢>H62铜>PVC。磁场与材料耦合作用使结垢量降低、失钙率升高以及碳酸钙成核诱导期缩短。造成这种作用的原因是磁场作用下,材料表面接触角与粗糙度降低,表面自由能增大,促进文石型CaCO3垢物形成。磁场作用下PTFE材料与磁场耦合作用最强,当磁场强度为4000Gs,结垢材料为PTFE时,结垢量和失钙率达到最高值分别为4.84g/m2和52%,诱导期由8min缩短到2min。在50min时,结垢量降低29%,失钙率升高12%。此外,随着时间延长,材料表面接触角逐渐减小,表面自由能和表面粗糙度逐渐增大,有利于污垢在材料表面继续附着。
油田生产过程中,碳酸钙(CaCO3)结垢会降低管线有效流通面积,增加流体流动阻力。当前,油田集输系统主要的除垢方法有化学除垢法、机械除垢法和物理除垢法。上述方法虽然成熟但仍存在除垢不彻底、治标不治本、环境不友好等诸多问题。
基于此,本文提出“变被动结垢为主动定点结垢除垢”的新型集结聚垢思想,人为创造结垢环境,实现在特定装置内快速除垢。调研发现,影响碳酸盐结晶成核诱导期的因素主要有pH、矿化度、温度、材料和磁场,而pH、矿化度和温度这些因素对结垢的影响机理已较为明确,有部分学者对材料和磁场CaCO3污垢生长开展了以下研究。
材料的表面物性会影响析晶污垢结垢速率。其中表面润湿性影响污垢结合强度;表面粗糙度直接影响到与析晶污垢有效接触面积和结合力;材料表面粗糙度和表面自由能的大小直接影响结晶速率。Jin等研究得出,同一材料表面上,水垢质量会随着接触角的减小而增加。Sánchez等观察到接触角的减小导致晶体成核所需的能量降低。Berce等对相关研究进行综述后指出垢物沉积量会随着表面粗糙度的提升而增加。Grosfils等发现表面粗糙度增大使分子吸附能力增强,提高了结晶速率。Wang等认为表面自由能越高,表面对垢物的吸附越强,结垢越多。Jiang等研究指出较高的表面能会缩短结垢诱导期,从而增加结垢倾向。Gao等研究结果表明,材料表面自由能越高,对结垢阴阳离子形成离子键的催化能力越强。材料表面与垢物间界面能差值越小,垢物与基质间的吸附力越强,致使结晶诱导期缩短、结垢量增大。
同时研究表明,磁场不仅能够加速晶体的成核过程,还能改变晶型和晶粒分布。Sohaili等发现磁场将管壁上的水垢去除率提高了46.7%。随着磁场强度增加0.4T,去除效率也增加到30%。Alabl等发现磁处理能加速碳酸钙晶体的成核并观测到磁场加入后碳酸钙沉淀速度加快,晶粒尺寸随磁场强度的提高而明显减小。同时晶体的成核速率和生长速率均有所提高。韩勇和Amer等发现磁场促进了方解石晶型的增加,抑制了文石晶型的增加,改变了碳酸钙的晶型和晶粒分布。Liu等研究指出磁场可以改变碳酸钙晶体结构和形态,促进碳酸钙晶型从紧密的方解石向更松散的文石转变,从而减少了38.2%~64.3%的碳酸钙结垢,同时永磁磁场的抗结垢能力比电磁磁场高12.3%~35.1%。Hou等研究认为电磁场在作用初期能够促进碳酸钙结垢,在作用中后期转为抑制结垢。Wang等研究指出可变频率的电磁场可以降低测试流体的电导率,促进CaCO3在文石而非方解石中结晶。Zhang等研究发现电磁场作用下,CaCO3晶体从规则的正六面体转变为针状的文石和无定形晶型等易被流体流冲刷掉的软结垢。陈小砖等综述了近年来关于磁场对碳酸钙结垢微观机理的影响,指出目前对于磁场对垢物作用的机理仍尚不明确,一部分学者提出氢键断裂理论为磁场抑制垢的结晶过程,另一部分学者则通过洛伦兹力理论、晶型改变理论等提出,磁处理会促进垢物的生成,在循环过程中快速生成晶核并促使其增大,易随水排出。
综上,学者们针对单一材料和磁场对结垢的影响进行了探究。近年来,有关磁场与材料协同作用对碳酸钙结垢的影响逐渐引起学者们的关注,Alimi等研究指出,永磁铁处理与材料协同作用是通过增加总沉淀物量并促进其在溶液中形成,而不是在材料表面结垢。唐瑞针对管道内不同材料结垢量变化规律和机理进行研究,指出材料相对磁导率越低,管道内部磁场强度越大,对碳酸钙晶体的作用效果越好。然而以上研究并未充分考虑磁场与材料协同对晶型晶貌和其他表面物性的变化规律和机理。同时磁场和材料协同作用对CaCO3结垢特性的影响规律和机理尚不清楚。鉴于此,本文通过构建永磁磁场和材料表面物性与结垢量和失钙率的关系,揭示磁场与材料协同对CaCO3晶体动态生长的影响规律和机理。为进一步优化集结聚垢装置提供理论依据。
01
实验与方法
1.1
实验材料
本研究以某油田采出水真实组分配制的模拟水为实验对象,采用离子色谱仪对油田水质进行分析,实验结果见表1。
表1 实验水样离子成分表

从表1可以看出,水中的阳离子以Na+、Ca2+为主,阴离子以Cl-和为主,因此油田主要垢型为CaCO3垢型。所用材料包括316不锈钢、H62黄铜、镀锌铁、玻璃钢、聚四氟乙烯(PTFE)、聚氯乙烯(PVC),以及6份Ⅰ型(50mm×25mm×2mm)不锈钢挂片。所用药品包括上海麦克林生化科技股份有限公司生产的CaCl2、NaHCO3、MgCl2、6H2O、NaCl、KCl、NaOH;天津市麦克林生化科技有限公司生产的乙二胺四乙酸(EDTA);天津市曼可迪科技有限公司生产的钙羧酸指示剂、EDTA;天津市百世化工有限公司生产的二碘甲烷;西安化学试剂厂生产的丙酮及煤油。以上药品等级均为分析纯。
1.2
实验仪器
实验仪器包括:德国赛多利斯的sartorius BS224S精密电子分析天平(分度值0.1mg);瑞士万通的930集成型离子色谱仪;英国牛津公司的MFP-3D Origin原子力显微镜(AFM);英国牛津公司的MFP-3D Origin场发射扫描电子显微镜(SEM);东菀市盛鼎精密仪器有限公司的SDC-100接触角测量仪;上科仪器有限公司的JB-80SH型数显电动搅拌器;北京哈科有限公司的HARKE-SFT-A1表面张力仪;北京科伟永兴仪器有限公司的HH-S8型恒温水浴;黄骅菲斯福实验仪器有限公司DZ-1All真空干燥箱。
1.3
实验内容
1.3.1 动态剪切实验
实验前将已清洁试片进行称量并编号。采用定浓度法配制模拟水,将加磁与不加磁溶液分别置于73℃的水浴中。实验时首先用EDTA滴定法测得不同时刻碳酸钙采出水溶液中钙离子的含量,进而算出采出水失钙率。失钙率测试实验严格遵照《水质 钙的测定 EDTA滴定法》(GB 7476—1987),将水样稀释10倍后进行。随后如图1所示,将试样悬挂于采出水样中进行结垢实验,反应溶液为300mL,实验中保持转速始终为150r/min,分别测量10min、20min、30min、40min、50min不同时刻材料表面物性、结垢量和失钙率。实验结束后将试样取出进行称量,测得反应结束后溶液钙离子含量。并采用AFM、SEM对样品表面形貌特征进行测试。

动态剪切模拟实验图
1.3.2 接触角的测量
如图2所示,取体积为5μL的液体,涂于每个材料平板上,利用SDC-100接触角测量仪对不同材料表面的接触角进行测量,接触角单位为(°)。

接触角示意图
本文采用Owens-Wendt两液法[28]计算各材料的表面自由能,如式(1)所示,材料表面自由能(γds+γps)与液体表面张力γL、液体表面自由能的色散分量γdL、极性分量γpL以及接触角θ有关。本研究选择蒸馏水和二碘甲烷作为标准液,其参数如表2所示。

式中,γL为液体表面张力;γds为材料表面自由能的色散分量,mN/m;γdL为液体表面自由能的色散分量,mN/m;γps为材料表面自由能的极性分量,mN/m;γpL为液体表面自由能的极性分量,mN/m;θ为接触角,(°)。
表2 标准液参数表

使用两液法进行计算时,两种探测液体的选取要满足如下条件:两种液体γpL与γdL的比值越大越好,同时两种待测液体不能为同一极性,且测试液体不能和材料表面发生反应。
1.3.3 表面粗糙度的测定
采用英国牛津公司的MFP-3D Origin原子力显微镜(AFM)观察和记录材料表面形貌和粗糙度。并采用轮廓算术平均偏差Ra作为表面粗糙度的评价指标。轮廓算术平均偏差Ra是取样长度L内轮廓点与基线距离绝对值的算术平均值,单位为nm,Ra在取样长度内轮廓点偏离基线距离的平方和最小值如式(2)所示。

式中,L为取样长度,μm;y为轮廓点偏离基线的距离,μm。
为保证实验数据可靠性,实验结果均测量3次后取平均值,且针对各工况均进行一次重复性实验。
02
结果与讨论
2.1
磁场强度对碳酸钙晶体生长的影响规律
选取2000Gs(1Gs=10-4T)、3000Gs、4000Gs、5000Gs和6000Gs的瓦片状磁铁,研究其在50min时失钙率大小变化。实验结果如图3所示。

不同磁场强度下模拟水失钙率趋势图
从图3可以看出,随着磁场强度的增加,模拟水失钙率先增后减,在50min时,采出液模拟水失钙率由大到小排序为4000Gs>5000Gs>6000Gs>3000Gs>2000Gs。为了进一步优选磁场强度,在同条件下,研究4000Gs、5000Gs和6000Gs三种磁场强度下采出液模拟水失钙率随时间的变化规律,见图4。

三种磁场强度下碳酸钙模拟水失钙率随时间变化趋势图
从图4可以看出,4000Gs磁场作用模拟水的失钙率由0增长到38.79%,5000Gs磁场作用下失钙率增长到35.16%,6000Gs磁场作用下失钙率增长到32.78%。因此该条件下的最优磁场强度为4000Gs。
2.2
磁场与材料类型对碳酸钙晶体动态生长的影响规律
2.2.1 磁场作用下材料类型对失钙率和结垢量的影响规律
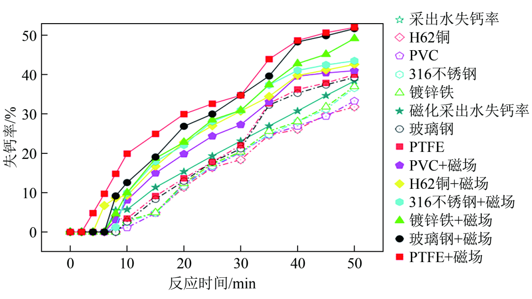
本实验对比分析了有/无磁场作用下材料类型对模拟矿化水失钙率、结垢性能的影响规律,选取材料类型分别为玻璃钢(FRP)、聚氯乙烯(PVC)、聚四氟乙烯(PTFE)、H62黄铜、316L不锈钢和镀锌铁,磁场强度为4000Gs,温度为73℃,搅拌转速为150r/min,反应时间为10min,实验结果见图5、图6。

有/无磁场作用下材料类型对失钙率的影响
从图5中可以看出:①无磁场作用的情况下,6种材料失钙率排序为PTFE>玻璃钢>镀锌铁>316不锈钢>PVC>H62黄铜;其中,PTFE材料失钙率为40%,玻璃钢材料失钙率为39.3%,镀锌铁材料失钙率为37%,316不锈钢材料失钙率为36.6%,PVC材料失钙率为33.3%,H62黄铜材料失钙率为31.8%。②加入磁场作用下,6种材料失钙率排序为PTFE>玻璃钢>镀锌铁>316不锈钢>H62铜>PVC;其中PTFE材料失钙率为52%,玻璃钢材料失钙率为51.7%,镀锌铁材料失钙率为49.2%,316不锈钢材料失钙率为43.5%,H62黄铜材料失钙率为42.6%,PVC材料失钙率为41%。因此,在加入4000Gs磁场作用下,采出水失钙率最佳的材料为PTFE。

有/无磁场作用下材料类型对结垢性能的影响
由图6可知,无磁场作用下,各材料表面碳酸钙沉积量排序为PTFE>玻璃钢>镀锌铁>316不锈钢>H62铜>PVC;有磁场作用下,各材料表面碳酸钙沉积量排序为PTFE>镀锌铁>玻璃钢>316不锈钢>H62铜>PVC。磁场作用下,材料表面的结垢量均降低,由此表明磁场不利于CaCO3污垢在材料表面附着。
同时观察到50min时采出水、采出水+磁场、采出水+PTFE、采出水+PTFE+磁场的碳酸钙污垢沉积情况见图7。

50min时碳酸钙模拟水实验图
从图7可以看出,在50min时,3种处理方式碳酸钙析晶污垢沉积量为:采出水+PTFE+磁场>采出水+磁场>采出水+PTFE>采出水。这是因为磁场能够促使溶液中的结垢离子不断地结晶析出,生成大量的碳酸钙颗粒垢。说明磁场与PTFE协同作用最有利于碳酸钙析晶污垢的生长。
2.2.2 磁场与材料类型对碳酸钙晶体成核诱导期的影响规律
本实验还研究了不同时刻磁场作用下各材料对碳酸钙污垢生长的促进效应。具体的实验结果如图8所示。

有/无磁场作用下不同类型材料失钙率随时间的变化规律势
图8显示,不同作用方式下失钙率由大到小排列为材料加磁>磁场>材料>空白样,在磁场作用下,采出水结垢诱导期缩短了7min;磁场与材料协同作用方式下失钙率由大到小排列为PTFE>玻璃钢>镀锌铁>316不锈钢>H62铜>PVC,其中PTFE与磁场协同作用下,结垢诱导期比空白样缩短了8min,比单独磁场作用下缩短了5min,比单独材料作用下缩短了6min。
造成以上现象的原因是磁场增加了Ca2+和CO32-等带电离子的碰撞概率,促使CaCO3晶体快速成核。说明磁场与材料对碳酸钙析晶污垢的生长和钙离子的析出有较为显著的协同作用。
2.3
磁场与材料类型对碳酸钙晶体动态生长的协同机理
2.3.1 磁场与材料类型对碳酸钙晶型晶貌的影响
采用扫描电子显微镜(SEM)观察50min时各材料表面污垢晶型晶貌、晶粒分布,结果如图9所示,每幅子图右上角放大图取自子图中红框位置。

有/无磁场作用下各材料表面析晶污垢分布及局部放大图
图9显示,无磁场条件下,镀锌铁表面以球霰石晶型为主,颗粒分布较密集。其他5种材料表面污垢以立方形方解石晶型为主,其中玻璃钢伴有少量白色片状垢物表面形状大小不均;PVC表面形状大小不均,原因是PVC材料对光和热的稳定性差,高温影响PVC材料的性质;H62铜材料表面分布较稀疏,原因是H62铜表面较光滑,垢层和材料表面黏附力较低,溶液表面的垢层被剥离;PTFE、316不锈钢晶型分布较密集,垢层不易剥离,会为后续结垢沉淀提供成核点,吸引成核离子不断结晶析出。
加入4000Gs磁场后,6种材料表面均产生针状文石晶型。原因是磁场改变了进入成核位点的离子分布,径向拉长碳酸钙颗粒并使其选择垂直于界面的方向快速生长。而文石与材料表面的吸附力较弱,容易被冲刷剥离。
2.3.2 磁场与材料类型对动态接触角的影响
综上所述,磁场显著改变了材料的晶型晶貌,并促进了碳酸钙沉淀中文石的晶型增加。为进一步探究磁场与材料表面接触角对碳酸钙析晶污垢成核诱导期的影响机理,本文通过实验测量了有/无磁场作用下10min、20min、30min、40min、50min不同时刻的材料表面接触角,结果如图10所示。

不同时刻各材料表面接触角对结垢量的影响规律
图10、图11表明,有/无磁场条件下失钙率排序为PTFE>玻璃钢>镀锌铁>316不锈钢>H62铜>PVC,接触角排序为PTFE>PVC>H62铜>316不锈钢>镀锌铁>玻璃钢。无磁场条件下材料结垢量排序为PTFE>玻璃钢>镀锌铁>316不锈钢>H62铜>PVC,各材料接触角随反应时间的增加逐渐减小,碳酸钙结垢量逐渐增大。原因是材料表面的亲水性增强,模拟水分子表面接触面积增大,从而促进了碳酸钙析晶污垢的生长与沉积。在4000Gs磁场作用下,材料加磁结垢量排序为PTFE>镀锌铁>玻璃钢>316不锈钢>H62铜>PVC,各材料接触角减小,结垢量降低,采出液失钙率增大。原因是磁场作用下,水分子部分氢键断裂,导致矿化水的表面张力系数减小。这一变化使得水溶液更易浸润材料表面,进而降低矿化水与材料表面的接触角。接触角的降低增强了液体在材料表面的铺展性,使液体更容易在表面铺展和流动,从而减少了结垢离子在表面的停留时间和沉积概率,最终降低了结垢量。此外PTFE为疏水性材料,但其结垢量最大,因此需要结合其他表面性质综合解释其结垢性能。

不同时刻各材料表面接触角对失钙率的影响规律
2.3.3 磁场与材料类型对动态表面自由能的影响
材料表面自由能可以通过影响表面润湿性进而影响结垢。为进一步探究磁场与材料表面自由能对碳酸钙析晶污垢成核诱导期的影响机理,本文通过实验测量了有/无磁场作用下10min、20min、30min、40min、50min不同时刻不同材料的标准液体接触角,结果见表3。
表3 标准液体的接触角汇总表

结合式(1)和表2、表3可得出材料表面自由能色散分量和材料表面能极性分量如表4所示。
表4 有/无磁场作用下材料表面自由能色散分量和极性分量

由表4可得出有/无磁场作用下6种材料在不同时刻的表面自由能[式(1)]对材料表面结垢量和失钙率的影响如图12、图13所示。

不同时刻各材料表面自由能对结垢量的影响规律

不同时刻各材料表面自由能对失钙率的影响规律
图12、图13表明,有/无磁场条件下各材料表面自由能随时间的增加逐渐增加,各材料表面自由能排序为玻璃钢>镀锌铁>316不锈钢>H62铜>PVC>PTFE。在4000Gs磁场条件下,各材料的表面自由能进一步增加,整体结垢量降低,但材料更容易结垢,采出水失钙率增高。特别是PTFE材料,其表面自由能较低,但结垢量最大。这一现象的原因在于磁场促进了材料表面极性基团的活化,增加了表面的极性,从而提高了表面自由能。表面自由能的增加一方面意味着材料表面具有更强的吸附能力,使结垢离子在材料表面的吸附和剥离过程更加频繁,从而使材料更易结垢,并且减少了结垢离子在表面的长期沉积。
2.3.4 磁场与材料类型对动态粗糙度的影响
除表面润湿性和表面自由能外,表面粗糙度同样是重要的影响因素,表面粗糙度的大小会影响污垢在材料表面的有效附着面积,为进一步探究磁场与材料表面粗糙度对碳酸钙析晶污垢成核诱导期的影响机理。本文通过实验测量了有/无磁场作用下10min、20min、30min、40min、50min不同时刻的材料表面粗糙度,结果如图14、图15所示。

不同时间各材料表面粗糙度对结垢量的影响规律

不同时间各材料表面粗糙度对失钙率的影响规律
由图14、图15可以看出,有/无磁场条件下6种材料表面粗糙度随时间逐渐增加,各材料表面粗糙度排序为PTFE>玻璃钢>镀锌铁>316不锈钢>H62铜>PVC。粗糙度越大,碳酸钙污垢沉积量越多,表明粗糙度对碳酸钙的成核有一定的促进作用。原因是碳酸钙晶体会提供成核点位,材料表面垢物随时间增多,材料粗糙度也逐渐增大。同时反应的过程中,碳酸钙团簇晶核优先在本体溶液中生成,当粗糙度增大时,碳酸钙团簇晶核黏附在材料表面上,粗糙表面的尖端通过促进更快的结垢来促进非均匀晶体成核并缩短诱导时间。而粗糙表面低谷可以保护晶体不被流动剪切力冲走,因此结垢量逐渐增大。在4000Gs磁场作用下,各材料表面粗糙度较无磁场条件下减小,结垢量降低,失钙率增加。原因是加入磁场后,碳酸钙颗粒尺寸降低,较小的颗粒更容易附着在材料表面低谷中,且不容易被剪切力冲刷。
由图10~图15可知,材料表面接触角、表面自由能、表面粗糙度等因素的协调关系对结垢量有显著影响。材料表面自由能越高、表面越粗糙,越有利于碳酸钙垢物的生长和附着。具体而言,较高的表面自由能增强了钙离子与碳酸根离子之间的离子键结合,较高的表面粗糙度提供了更多的成核点,增加了粗糙表面沟槽和尖峰数量,有利于晶体异相成核,并使得晶体尺寸和分布更加均匀,从而产生更强的屏蔽效应和质量传递,促进碳酸钙的结晶和生长。材料表面接触角的影响机理则更为复杂,亲水性越强,一方面材料表面对垢物的吸附能力越强,另一方面与材料接触的流体对垢物的剥蚀能力也随之增强。因此尽管PTFE具有高接触角和低表面能,但其较高的表面粗糙度会抵消这些效应,同时表面粗糙度越高,越难将垢物从材料表面剥离。以上原因导致PTFE在高粗糙度、高接触角和低表面能的条件下表现出结垢量最大的特性。
综上所述,磁场与材料协同对碳酸钙晶体生长过程起到了决定性作用。磁场与材料协同作用通过改变改变晶型,使碳酸钙垢晶型从方解石转变为文石,同时磁场作用降低了材料表面粗糙度,从而减少了结垢物质的附着力,使得碳酸钙不易在材料表面结垢。此外磁场还增加了材料表面自由能,降低了材料表面接触角,增强了碳酸钙微粒的聚集能力,促进了碳酸钙的析出。
因此磁场与材料协同通过影响晶体形态和材料表面物性直接影响了碳酸钙晶体结垢的过程。材料类型决定了磁场作用的具体效果,而磁场则进一步调节了碳酸钙晶体的结垢行为。两者的协同作用对于实际的集结聚垢除垢装置的应用具有重要的理论意义和实践价值。
03
结论
本文以某油田模拟水为研究对象,采用动态模拟剪切实验分析了磁场与材料类型对矿化水失钙率、材料表面结垢量及碳酸钙结晶成核诱导期的协同规律,并在微观尺度上分析磁场与材料类型对CaCO3结晶成核诱导期的影响机理。具体结论如下。
(1)加入磁场对碳酸钙析晶污垢在材料表面的沉积有抑制作用,对采出水失钙率的增加有协同作用。
(2)无磁作用下,玻璃钢、PTFE、H62铜、PVC、316不锈钢表面上形成方解石晶型碳酸钙垢,镀锌铁表面为多孔结构的球霰石晶型碳酸钙垢。且PTFE材料表面颗粒分布较密集,H62铜表面颗粒分布较稀疏。加入磁场后,6种材料表面均产生了部分的文石晶型碳酸钙垢,材料表面结垢量降低。促进了失钙率的增加。
(3)无磁作用下,随着时间延长,各材料接触角减小,表面自由能增加,表面粗糙度增加,且除PTFE外5种材料结垢量随着表面自由能的增大而增大。加入磁场后,随着时间作用,各材料接触角降低,表面自由能增大,表面粗糙度减小。3个表面性质共同影响材料的结垢性能,整体表征为材料表面接触角越小、表面粗糙度越大、表面自由能越高结垢效果越佳。
(4)有/无磁场作用下各材料碳酸钙失钙率和结垢量规律性一致,无磁作用下在50min时,PTFE主动结垢效果最好,结垢量和失钙率分别为6.88g/m2、40%。最优磁场强度为4000Gs,最佳结垢材料为PTFE,磁场与PTFE协同作用下结垢量和失钙率分别为4.84g/m2、52%。
作者简介

第一作者及通信作者:蒋华义,博士,教授,研究方向为油气储运工程。